Product overview
An important property sought by users of lipstick is that the product must not bend, crumble, crack or break during application. Selection of the correct base ingredient quantities, e.g. waxes of specific melting points, is such to formulate a product with moulded stick resilience, which possesses enough rigidity to withstand firm application to the lips by the user.
The Lipstick Cantilever Rig enables a cantilever test on lipstick samples. This cantilever test provides both imitative and empirical results in one test. Samples are clamped within the orifice of the supporting attachment; the lipstick is then wound out to its maximum length and the supporting attachment attached to the machine bed in such a position that the hemispherical blade comes down on the sample at approximately 3mm away from the tip. Action is provided by a hemispherical edged blade which simulates the bending action caused during application.
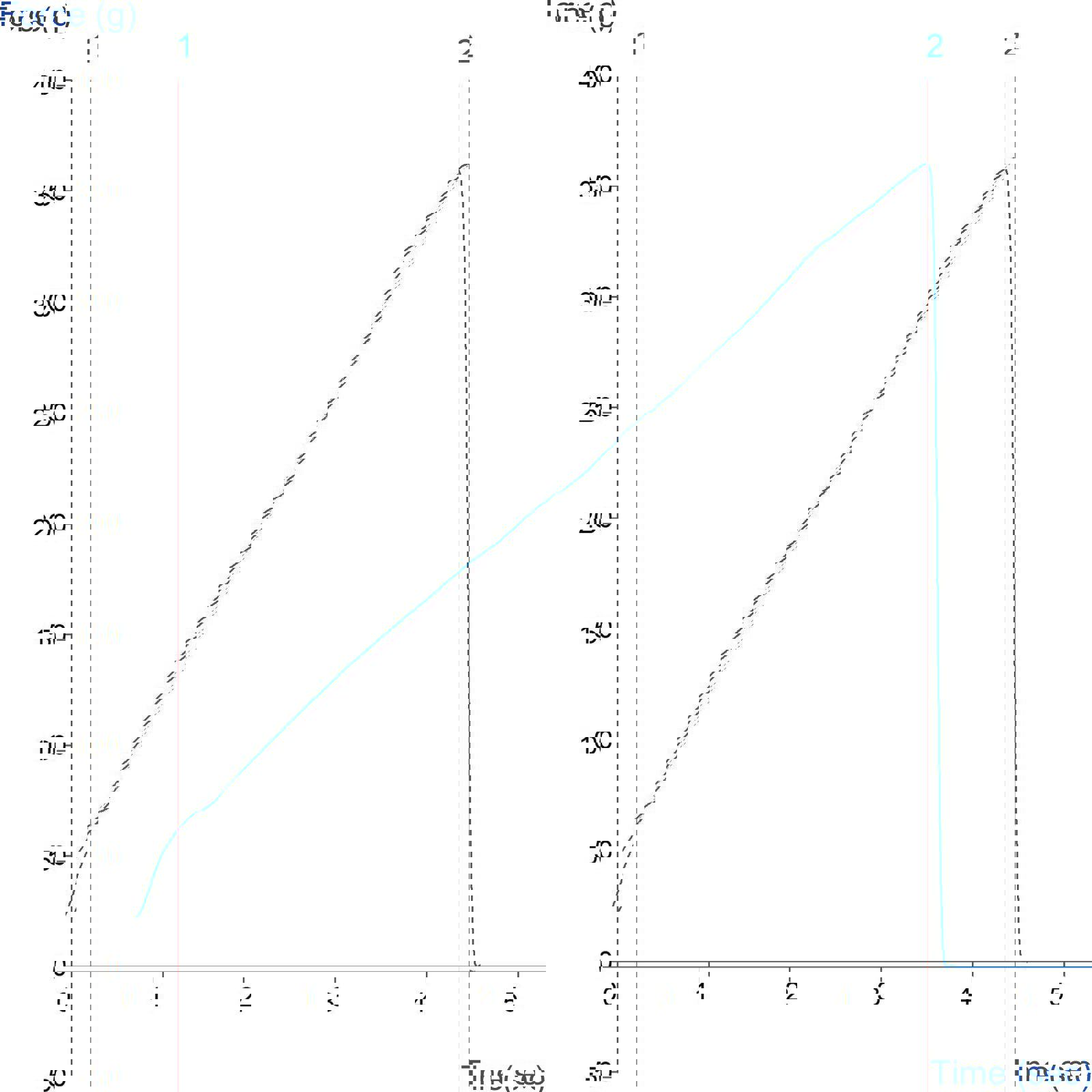
The maximum force value, i.e. the maximum peak, is the force required to bend then break the lipstick away from the main body of the sample, which provides an indication of the hardness of the sample. The distance at which this break occurs indicates the flexibility/brittleness of the sample, i.e. a brittle sample would possess a short bending distance. The gradient of the slope during the bending action can be referred to as the ‘stiffness’ (or resilience) of the sample, the higher the gradient the stiffer the sample.
How does the Lipstick Cantilever Rig work?
Typical graph
Technical information
Ideal sample form
Solid materials that are supported in their packaging and can be held by it horizontally in order that the exposed material can be flexed and subsequently broken by a curved beam.
Benefits and limitations
- Provides an imitative test
Installation
Full installation instructions are provided within the Education Zone of the latest Exponent/Connect software version and on the technical information sheet accompanying this product.
Chemical compatibility
Stable Micro Systems probes and attachments are commonly made from four materials: anodised aluminium (AA6082 T6), stainless steel (316 T), Delrin (acetyl copolymer) and Perspex (polycarbonate).
In general use, probes and attachments made from these materials will be suitable for testing food products and inert non-food materials.
The four materials listed above are not universally resistant to all types of chemicals and as such the compatibility of the probe/attachment material with the product (to be tested) must be established to prevent damage to the probes and attachments. If the compatibility of the product with the probe is unknown to the customer then the chemical information about the product (Material Safety Data Sheet or Product Data Sheet) should be submitted to Stable Micro Systems. Stable Micro Systems will then assess the suitability of the probe/attachment material for use with the product and advise accordingly. If this advice is not sought then Stable Micro Systems will not accept liability for probes/attachments damaged by chemical attack from the product being tested.
Cleaning and maintenance
All probes and attachments may be cleaned in warm (or hand hot) water using a mild detergent. A soft brush may be used but abrasive cleaning aids should be avoided. Stable Micro Systems products should not be microwaved or cleaned in a dishwasher.
Screw threads should be lightly lubricated after drying using a light lubricant, e.g. petroleum jelly, mineral oil. This will aid the fitting and unscrewing of the item. Each component of a probe or attachment should be wrapped separately when stored, to avoid scratching or chipping. This will safeguard against any unnecessary damage to the accessory.

